Hírek
2022. Július 14. 09:10, csütörtök |
Helyi
Forrás: Infopapa.hu (Szalóky Zsolt)
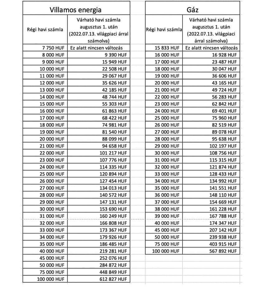
Mutatjuk, mennyi lesz a gáz- és villanyszámlája augusztustól!
Ha eddig 25 ezer forint volt a gázszámlája, akkor hamarosan 75 ezer forint környékén lesz.
A havi átlagfogyasztásnak Gulyás Gergely szerint áram esetében 210 kWh-át, földgáz esetében 144 köbmétert tekintik. Aki pont ennyit vagy kevesebbet fogyaszt, annak marad a rezsicsökkentett ár. A miniszter szerint ez legfeljebb 7750 forintos áramszámlát és 15 833 forintos havi gázszámlát jelent (rezsicsökkentett áron).
Rezsicsökkentés nélkül ennyi lenne a számla egy átlagos fogyasztónak
Gulyás Gergelyék által közölt számokból indulunk ki, ha a piaci árat fizetné a fogyasztó, jelen pillanatban 50 833 forint lenne a villanyszámla és 131 441 forint a gázszámla, szemben a rezsicsökkentett 7750 forintos villanyszámlával és a 15 800 forintos gázszámlával. Ez marad.
Aki túllépi a fenti mennyiségeket, az az átlagos fogyasztási szintig még a rezsicsökkentett árat fizeti, és minden ezen felüli kWh, illetve köbméter után kell a piaci árat megfizetnie.
A világpiaci ára folyton változik a gáznak és az áramnak is, így az alábbi táblázat csak hozzávetőleges árakat tartalmaz, de az egyértelműen látszik, hogy aki túllépi az országos átlagot, az jócskán a zsebébe kell, hogy nyúljon.
Nagycsaládosok kedvezményt kapnak
Egy háromgyermekes család ezentúl évente nem 1729 köbméterig, hanem 2329 köbméterig veheti igénybe a kedvezményt. Minden további gyerek után 300 köbméterrel emelkedik a limit. A villamos áramnál ilyen kedvezmény nincs.

Ezek érdekelhetnek még
2026. Május 02. 20:37, szombat | Helyi
Megrongálták a vasútállomás aluljárójában lévő galériát
Vandálok törtek-zúztak a pápai vasútállomás aluljárójában - derült Venczel Csaba önkormányzati képviselő Facebook posztjából.
2026. Május 01. 12:22, péntek | Helyi
Elballagtak Pápa végzős diákjai – megtelt ünneplő fiatalokkal a belváros
Május 1-jén ismét megrendezték Pápa egyik legszebb és legmeghatóbb hagyományát, a Városi Ballagást.
2026. Május 01. 09:21, péntek | Helyi
Férfi kézilabda BL - Egygólos előnyben a Veszprém a negyeddöntőben
A Veszprém házigazdaként 35-34-re legyőzte a német Füchse Berlint csütörtökön, a férfi kézilabda Bajnokok Ligája negyeddöntőjének első mérkőzésén.
2026. Május 01. 09:00, péntek | Helyi
Gyalogátkelőhelyen ütött el egy fiatal fiút Pápán
Közúti baleset gondatlan okozásának vétsége miatt emelt vádat a Veszprémi Járási Ügyészség azzal a 75 éves nővel szemben, aki tavaly januárban gyalogátkelőhelyen ütött el egy fiatal fiút Pápán.

